|
2.4 以個數為基準和以質量為基準的平均粒徑計算公式
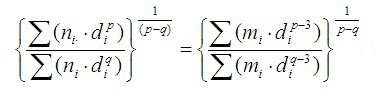
一般情況下,以個數為基準和以質量為基準的平均粒徑計算可有下列公式轉換:


注: ni , di 含義:顆粒粒徑為 di 的顆粒的總個數為 ni 。
mi , di 的含義:顆粒粒徑為 di 的顆粒,在整個顆粒群中占有的質量為 mi 。
2.4.1 個數平均徑
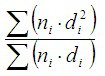
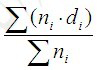
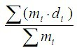
以個數為基準:相當于將 n 個大小不同的顆粒排列起來,其長度為 ,在此長度上排列 個等直徑的顆粒,則每個顆粒的等效果直徑為: 以質量為基準的公式推導:
顆粒群中顆粒總個數為:
顆粒群中顆粒總長為: 每個分級中顆粒個數╳對應分級的顆粒直徑后累加
則以質量為基準的個數平均徑為:
2.4.2 長度平均徑
以顆粒的總長度為基準:
顆粒的總面積為:
所有的分級顆粒總長度為:
顆粒的長度平均徑為:
以質量為基準推算長度平均徑的方法見 2.4.1
其物理含義是:顆粒的總面積除以顆粒的總長度。
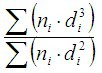
2.4.3 面積平均徑
以顆粒的面積為基準:
顆粒群的總體積為:
顆粒的總面積為:
則面積平均徑為:
以質量為基準的推算方法見 2.4.1
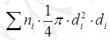
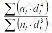
2.4.4 體積平均徑
推算方法見2.4.3
2.5 眾數、中位徑(X50 )、D32 (面積平均徑)、D43 (體積平均徑)的含義

2.5 .1 眾數徑 Dmod:
顆粒出現頻率最多的分級對應的粒徑,在上表區間 15-19.9μm 的顆粒數量最多,其中間值為 17.5μm,既眾數為17.5μm;
2.5.2 中位徑(X50 國際標準,D50 中國習慣標注法):
在累積分布中,累積值為50%處對應的粒徑。
在上表中 ,20μm對應的累積為 61.3%,則累積到50%對應的顆粒粒徑通過2點插值進行計算:

同理:X16 ,X98 等的含義。
D50 本身并沒有一定的物理含義,根據不同的測量方法, D50 的物理含義也不同,如顯微鏡法測量結果一般以長度為量綱,激光散射、衍射法測量結果以質量分布為量綱等。
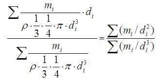
2.5.3 D[3,2] 面積平均徑
面積平均徑(也有文章稱為 面積重量平均徑、比表面積平均徑)即, 或者 ,見2.4.3對于上表 D[3,2]=26.5μm。
其物理含義是:顆粒群的總體積除以顆粒群體的總面積,即單位體積的表面積的倒數。或理解為:用一個假想的尺寸均一的顆粒(直徑為 D[3,2])群來代替原有的顆粒群,假象的顆粒群的總體積和總面積與原有的顆粒群相等。
2.5.4 D[4,3] 體積平均徑
體積平均徑 (也有文章稱為 質量平均徑,體積重量平均徑 )既 或 ,見2.5.4
對于上表 D[4,3] =27.9μm
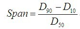
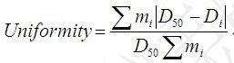
2.5.5 其它參數
跨度
均勻性
上一篇:顆粒學基礎知識-顆粒粒徑的計算方法(第二章2.2-2.3)
下一篇:顆粒學基礎知識-顆粒粒徑的計算方法(第三章)
|